Sublime
An inspiration engine for ideas


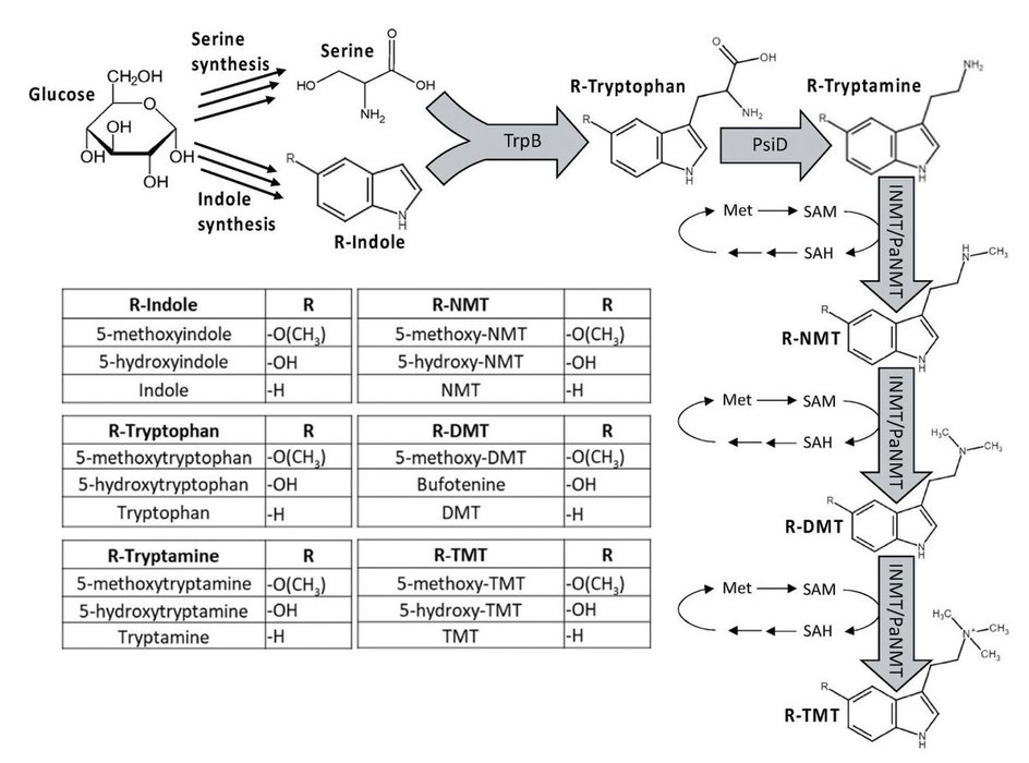
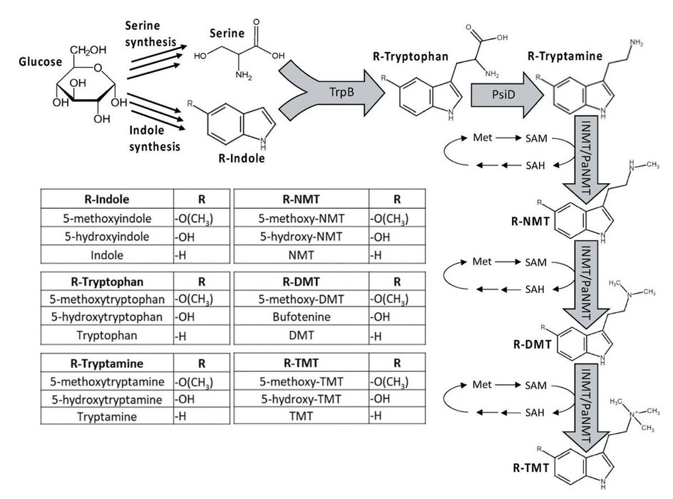
Engineered bacteria and yeasts are the future of large scale, extremely cheap, and unstoppable drug production...
Glucose in, 5-MeO-DMT out.
But it won't just be simple tryptamine psychedelics -- cocaine and opiates will be next... https://t.co/VaFXC0j9T2
Dual concurrent DNA builds going. Can create 192 plasmids / day at approx $20 per plasmid https://t.co/bhEEWizcQf
Keoni Gandallx.comUtilizing a Cell-free Protein Synthesis Platform for Natural Product Synthesis
https://t.co/FClLlJDLXH
#biorxiv_synbio
bioRxiv Synthetic Biologyx.com
The Romans used 12,000 snails to make 1g of purple dye.
In the 1970s, 24,000 pigs were used to make 1 lb of insulin, enough to treat 750 diabetics annually.
Now, most animal products are made using biotechnology. Here's how.
My latest with @AlexandraBalwit for... See more

There are over 500 amino acids.
Also known as non-standard, non-canonical, or even unnatural, these amino acids have diverse functions in Nature and appear to be imbuing therapies with superior physiochemical properties.
Read more in my newest... See more
1/11. Molecular glues and bifunctional compounds induce neo-protein associations with target proteins and neo-substrate interactions with enzymes. https://t.co/05lIlm6V9Q
Stuart Schreiberx.com