Sublime
An inspiration engine for ideas

Company heat map of sensitivity to Inflation Reduction Act healthcare reform https://t.co/ftv5UYTwT5

Obesity Comp - in a single graph
(from 340 pgs long Obesity report by Stifel) https://t.co/tS4KgA0zZs

TOP I&I DRUGS By Q2 2024 Sales
Source: Arjun Murthy on the HR App! https://t.co/nSOVCXoUUn

(Reposting)
Company heat map of sensitivity to Inflation Reduction Act healthcare reform https://t.co/LhJvWWAgtV

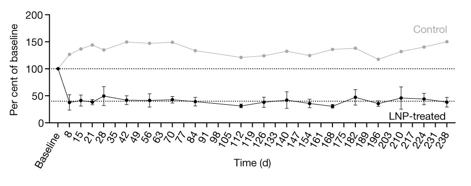
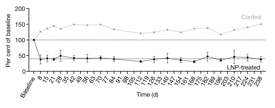
This is huge news.
Verve has developed a safe, effective gene therapy for cholesterol levels. It's a one-shot therapy that leads to a permanent ~50% reduction in cholesterol (see pic attached).
They might be considering this because of the HHS news from June 5th! https://t.co/H7DLY8uHjl

FDA approves macrocyclic peptide targeting the complement pathway for autoimmune disease https://t.co/RZGWOK5s9G
And for more on macrocyclic drugs, here's a recent news article https://t.co/mlllyZvIBO https://t.co/hOFpz51Zqc

List of approved Gene Therapies
**best selling is ZOLGENSMA w/ 2021 ~$1.4B Revs https://t.co/fsNh706DHv


Royalty Pharma is a fascinating business.
The name pretty much explains the business model -- they purchase royalty streams from academia, biotech, and pharma companies.
It's, unsurprisingly, insane profitable.
63% EBIT margins and 127% operating cash flow... See more